Projection of a SJ WFN onto a CISD Basis via Stochastic Evaluation

General discussion of the Cambridge quantum Monte Carlo code CASINO; how to install and setup; how to use it; what it does; applications.
Post Reply
Vladimir_Konjkov
Posts: 187
Joined: Wed Apr 15, 2015 3:14 pm

Projection of a SJ WFN onto a CISD Basis via Stochastic Evaluation

Post by Vladimir_Konjkov »

Hello CASINO developers.

In quantum Monte Carlo (QMC) methods, the choice of trial wave function plays a crucial role in determining the accuracy and efficiency of energy estimates. A widely used ansatz is the Slater–Jastrow (SJ) wave function, defined as:
ΨSJ (R)=J(R)⋅D0​(R),
where R denotes the coordinates of all electrons, J(R) is a Jastrow factor that explicitly depends on inter-particle distances and accounts for dynamic electron correlation, and D0(R)=Dα(Rα)⋅Dβ(Rβ) is a product of two Slater determinants constructed from occupied spin-orbitals for up (α ) and down (β ) electrons, respectively. This form ensures antisymmetry under particle exchange while incorporating correlations through J(R) .
The occupied and virtual orbitals are taken from a Hartree–Fock calculation using canonical HF orbitals, which are orthonormal:
⟨ϕi∣ϕj ⟩=δij​

This orthogonality holds for all orbitals—occupied, virtual, and across the entire orbital space—ensuring that the resulting excited determinants form an orthonormal basis. However, for certain applications—such as improving nodal structure, analyzing correlation content, or constructing compact representations—it is desirable to project ΨSJ onto a multi-determinant basis without the Jastrow factor. One natural choice is the CISD (Configuration Interaction with Single and Double excitations) space:
ΨCISD(R)= I∈CISD ∑ cI DI(R),
where each DI is obtained by exciting one or two electrons from occupied to virtual orbitals in either or both spin sectors. The coefficients cI are not known a priori; they must be determined such that ΨCISD best approximates ΨSJ in a least-squares sense. Crucially, ΨCISD does not include a Jastrow factor; thus, this projection captures how the implicit correlations encoded in J(R) manifest within a pure determinant expansion.

To determine the unknown coefficients cI, we minimize the squared norm ||ΨSJ − ΨCISD || . This leads to the equation:
∑S IJ cJ = bI

,where SIJ =⟨DI ∣DJ ⟩,bI =⟨DI∣ΨSJ⟩.
Due to the use of canonical Hartree–Fock orbitals, the excited determinants {DI} form an orthonormal basis:

All singly excited determinants satisfy ⟨Dia ∣Djb ⟩=δij δab ,
All doubly excited determinants satisfy ⟨D ijab ∣D klcd ⟩=δik δjl δac δbd
​Overlaps between determinants with different excitation levels (e.g., single vs double) are zero,
All cross-terms vanish.

Therefore, the overlap matrix SIJ is strictly diagonal: S IJ =δ IJ

As a result, the linear system simplifies exactly to: cI =bI =⟨DI​ ΨSJ⟩

There is no coupling between configurations — each coefficient is determined independently.

The right-hand side, bI =⟨DI ∣Ψ SJ ⟩ , is evaluated stochastically using samples drawn from the probability density ∣ΨSJ (R)∣ 2
, which is standard in QMC simulations. We rewrite the integral as an expectation:
Screenshot_20250926_155237.png
Screenshot_20250926_155237.png (63.24 KiB) Viewed 10636 times
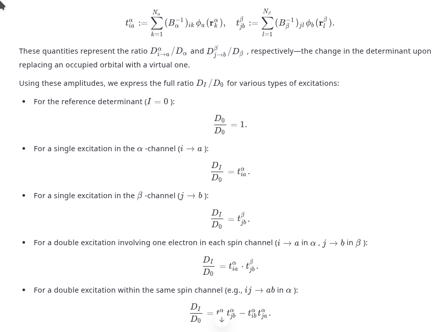
This is achieved by introducing excitation amplitudes based on the inverse of the occupied orbital matrices. Let Bα be the Nα ×Nα matrix of occupied orbital values on the α -spin electrons: (Bα)ki =ϕi (rkα) . Similarly define Bβ . Then, for any virtual orbital a , we define the coupling amplitudes:
Screenshot_20250926_155619.png
Screenshot_20250926_155619.png (66.12 KiB) Viewed 10636 times
Thus, at each Monte Carlo configuration, the contribution to cI is computed as:
ΨSJ (R)/DI(R) = 1/J(R) * DI(R)/D0 (R), with DI/D0 given by the expressions above. After averaging over the sampled configurations, we obtain cI directly.This formulation allows the entire projection to be evaluated efficiently at each Monte Carlo configuration, with computational cost dominated by the inversion of Bα and Bβ (O(N^3) ) and the matrix-vector products needed to compute tia (O(N^2M) ), where N is the number of electrons per spin and M the number of virtual orbitals. In summary, due to the use of canonical HF orbitals, the CISD basis is orthonormal and the overlap matrix S
IJ is strictly diagonal. This eliminates coupling between configurations and allows each coefficient cI to be computed independently as cI =⟨DI ∣ΨSJ ⟩ , estimated stochastically via Monte Carlo sampling. The resulting formalism provides an efficient and rigorous way to project a Jastrow-correlated wave function onto a multi-determinant expansion.

Can this algorithm be implemented in a CASINO? Since its complexity is not that high.

Do you have MathJax support working?
https://math.meta.stackexchange.com/que ... -reference

Otherwise, it's extremely inconvenient to write formulas.

Best Vladimir.
ChatGPT tackles every task with glee,
But turns it all to garbage, can't you see?
And when it handles garbage from the start,
At least it wastes less effort on its part.
Vladimir_Konjkov
Posts: 187
Joined: Wed Apr 15, 2015 3:14 pm

Re: Projection of a SJ WFN onto a CISD Basis via Stochastic Evaluation

Post by Vladimir_Konjkov »

It's similar to electron-by-electron sampling. However, instead of changing coordinates, the column in the Slater matrix changes due to modifications in the single-electron orbitals. As in the paper, but without needing to compute the derivative.
https://pubs.acs.org/doi/10.1021/acs.jctc.7b00648
ChatGPT tackles every task with glee,
But turns it all to garbage, can't you see?
And when it handles garbage from the start,
At least it wastes less effort on its part.
Post Reply